
Financial Charts
TABLE OF CONTENTS
loading...
Financial Charts

Time Series and Date Axes

Candlestick Charts

Waterfall Charts

Funnel Chart

OHLC Charts

Indicators

Gauge Charts

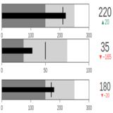
Bullet Charts

Get Expert Guidance – Contact Support
Need additional help or have specific questions? Our team is here to provide expert guidance and ensure you get the most out of CORAS. Reach out to us for support!